Français Deutsch

Sommaire du projet

1. Page d'accueil :

2. Les activités :

3. Les informations complémentaires :

4. Les galeries de photos :



Le savoir est quelque chose qui se construit par l'action.
- Ulrich Haas dans Selbstorganisiertes Lernen im Unterricht.







2. Le demi-mètre pliant : Les activités

Dans cette partie (toujours en construction), vous trouverez dans le futur les fiches d'activité relatives au demi-mètre pliant. En attendant, nous donnons des pistes d'utilisation du demi-mètre pliant en classe. Nous avons divisé le tout en trois niveaux. Le premier, le niveau junior, a pour objectif de développer la dextérité de l'enfant avec le demi-mètre pliant. Il comprendra ensuite des exercices plus ou moins difficiles qui doivent amener l'enfant à exécuter certaines réflexions et certains calculs. Pour toute cette partie, les prérequis ne sont pas (ou sont peu) existants.
Vient ensuite le niveau intermédiaire. Ici, on attend clairement certains prérequis chez l'élève. Ceux-ci seront détaillés explicitement dans les fiches d'activité. Il n'y a plus d'exercices visant à améliorer les qualités moteurs de l'enfant dans la manipulation du demi-mètre pliant. Le but est désormais systématiquement d'utiliser le demi-mètre pliant afin de représenter un concept abstrait. L'enfant doit utiliser l'aide fournie par cet objet comme un sas d'entrée vers les concepts abstraits.
Enfin vient le niveau senior. On attend des élèves qui évoluent dans ce niveau d'avoir une grande expérience dans la capacité de visualisation de concepts abstraits. Leur but ici va être de prendre un concept neuf pour eux et d'appliquer le demi-mètre pliant à celui-ci.



2.1. Junior


Pour les enfants de ce niveau, l'utilisation du demi-mètre pliant peut se faire sous la forme d'un exercice divertissant visant à améliorer la dextérité de tous. Pour ce faire, chaque enfant reçoit un mètre et, dans un premier temps, on leur apprend à le déplier. Cet exercice peut poser problème chez les enfants de trois ans et moins. Mais même si le mètre venait à casser, il se rompt de manière inoffensive pour l'enfant. Dans un deuxième temps, on montre aux enfants différentes figures (comme par exemple un escalier) qu'ils doivent tenter de reproduire. On peut ensuite également introduire certaines formes géométriques telles que le triangle ou le carré, ainsi que les premières lettres de l'alphabet. Toutes ces formes sont reprises dans notre galerie de photos. L'on peut ensuite inciter les enfants à construire leurs propres formes et les encourager à reproduire celles de leurs camarades.

Ce procédé a été testé dans la crèche Coccinella d'Esch-sur-Alzette (Luxembourg), sous la supervision de Madame Emilie Peifer, consultante pédagogique. Sur son rapport, que vous pouvez télécharger sous format pdf dans la section Annexe, elle note que la lettre C, l'escalier et le poisson sont les formes les plus populaires. Les enfants se sont également observés mutuellement et ont tenté d'imiter leur voisin. De plus, ils ont comparé les mesures de différents objets. Ils ont travaillé avec les demi-mètres pendant environ 30 minutes.

Lettre APoissonTriangle
Activités avec le demi-mètre pliant (niveau junior)

Le demi-mètre pliant peut être utilisé pour l'apprentissage des lettres (voir notre galerie de photos), pour l'introduction à l'art et l'introduction à la réflexion algorithmique. On peut commencer à utiliser le demi-mètre pliant pour sa fonction première, à savoir pour la mesure. Il peut également être utlisé pour introduire les polygones réguliers, comme les triangles ou les carrés. À partir du carré, via une déformation continue, on peut introduire le losange (n'ayant pas d'angle droit). À partir du rectangle, via une déformation continue, on peut introduire le parallélogramme (n'ayant pas d'angle droit). L'introduction du calcul d'aire et de périmètre peut également se faire à l'aide du demi-mètre pliant, en considérant les segments de ce dernier comme des segments (au sens mathématique du terme) de 5cm de longueur. Mais le demi-mètre peut aussi être l'objet central d'activités individuelles de découvertes :

  • Parmi toutes les figures que l'on peut former avec le demi-mètre pliant, telles que deux segments consécutifs sont soit dans le prolongement l'un de l'autre soit en angle droit l'un par rapport à l'autre, quelle est celle qui renferme la plus grande aire?
  • Former différents trapèzes. Mesurer l'amplitude de ses angles et, pour toutes les paires d'angles consécutifs, additionner leurs amplitudes. Que constate-t-on?
Le décagone régulier sera inévitablement l'une des formes géométriques préférées des élèves et pourra faire l'objet de différentes activités. On peut évidemment envisager des activités de groupe, comme la création de l'hectogone régulier.

CarréFlècheLosange
Déformation continue d'un carré en un losange


Prof. Marina Monsurrò de l'Université européenne de Rome s'est justement penchée, avec ses étudiants, sur l'utilisation du demi-mètre pliant pour cette tranche d'âge. La mathématicienne a introduit le demi-mètre pliant dans une classe de primaire sans davantage d'explications. Les élèves étaient ainsi totalement libres de choisir l'usage qu'ils voulaient en faire. La première observation qu'elle faisait de cette classe découverte est que ce n'étaient pas les élèves les plus brillants, dans le sens académique du terme, qui furent les premiers à créer des formes. Cette activité s'est très vite propagée au sein de la classe, les élèves s'observant les uns les autres et tentant de reproduire la forme de leur voisin. Si au départ, les enfants construisaient des formes aléatoires, très vite ils commencèrent à structurer leur travail pour créer les premiers polygones. Il s'installait une sorte de concours tacite entre les élèves qui les poussait à toujours trouver de nouvelles formes. Ainsi, ils se mirent à disposer les segments du demi-mètre pliant de manière à ce qu'ils forment des objets du quotidien tels que des chapeaux, le logo McDonald's ou encore un marteau. La fantaisie a ensuite pris le dessus chez des élèves qui donnaient libre cours à leur imagination. Dans une rangée de bancs de quatre élèves, un garçon prénomé Luca a soudain eu une idée : Pourquoi ne pas, avec son mètre pliant et ceux de ses 3 camarades, écrire son nom? C'est ainsi que le premier mot est apparu. D'autres élèves se sont mis à les imiter.

Luca
Le premier mot fait avec les demi-mètres pliants

C'est une scène très importante qui rappelle un moment marquant de l'histoire de Maria Montessori qui s'était passée dans la première école Montessori de San Lorenzo. Celle-ci est relatée dans le Manuel pratique de la méthode Montessori. Maria Montessori avait demandé à un de ses élèves (qui connaissait les lettres de l'alphabet, mais ne savait pas encore écrire) de dessiner une cheminée. L'enfant s'exécuta et, une fois le dessin effectué, il se mit soudainement à inscrire une série de lettres pour former le mot cheminée et s'exclama qu'il savait écrire. Il écrivait alors des mots tels que maman ou main. Ses camarades intrigués le rejoignèrent et se mirent également à écrire différents mots.

Si (Oui)
Les élèves ont trouvé une manière d'écrire "Oui" (en italien) avec un seul demi-mètre pliant.

Certes dans notre cas, les enfants savaient déjà écrire et l'avancée pédagogique est donc moindre, mais l'état d'esprit des enfants s'avère être identique à la situation qu'a vécu Maria Montessori, ce qui nous renforce dans l'idée que le demi-mètre pliant a les qualités requises pour faire partie du matériel sensoriel Montessori. Les élèves ont d'ailleurs pris beaucoup de plaisir à travailler avec les demi-mètres pliants. Ils demandèrent avec insistance de pouvoir les utiliser à nouveau pour d'autres leçons, et quand une leçon avec les demi-mètres pliants se terminait, ils témoignèrent leur mécontentement. Silvia Colantonio, Maria Verazzo et Katiuscia Iezzi, trois étudiantes de Prof. Monsurrò, se sont penchées sur des leçons que l'on pourrait faire en classe de deuxième et troisième primaire avec le demi-mètre pliant. Elles ont proposé de faire un travail sur les tables de multiplication de 5 et même de donner une introduction intuitive du système quinaire.




2.2. Intermédiaire


Cette partie est traitée dans le moindre détail dans la thèse de master d'Andy Foyen. En voici un bref apperçu. Dans ce niveau, notre but va être maintenant d'introduire des concepts abstraits simples (c'est-à-dire des concepts qui peuvent facilement se rapporter à la vie du quotidien) à l'aide du demi-mètre pliant. La manipulation simple du demi-mètre pliant ne suffit plus. Elle doit à présent être complétée par une activité cognitive. Le demi-mètre pliant peut être utilisé dans divers domaines.

  • Algèbre : Le demi-mètre pliant peut servir d'aide dans la résolution d'équations du 1er degré. Pour résoudre l'équation 3x+2=11, nous pouvons procéder de la manière suivante :
    Nous déplions le demi-mètre et le plaçons sur une feuille de papier assez grande. Nous traçons en vert le segment entre le centimètre 0 et le centimètre 2. Nous traçons en orange le segment entre le centimètre 0 et le centimètre 11. 3x représente ainsi la longueur d'un segment entre le centimètre 2 et le centimètre 11. Ce segment a une longueur de 9 centimètres. On en conclut donc que 3x=9. Afin de trouver x, il faut subdiviser ce segment en trois segments de même longueur. L'inconnue x représente alors la longueur d'un de ces segments.

    Eqn 1er degré
    Résoudre une équation du 1er degré avec le demi-mètre pliant.


  • Géométrie : La géométrie est sans aucun doute le domaine dans lequel le demi-mètre pliant peut être le plus utile:
    1. Le vocabulaire dans le triangle : Après avoir introduit le vocabulaire propre aux différents triangles au cours, on peut utiliser le demi-mètre pliant pour consolider ces connaissances. Pour ce faire, on répartit les élèves en groupes de deux éléments. Chaque groupe dispose d'une boîte à chaussure comprenant deux trous pour y introduire des mains ainsi que différents jeux de cartes qui comprennent les noms des différents triangles. Les élèves placent le demi-mètre pliant à l'intérieur de la boîte. Un élève tire une carte du jeu et doit construire avec le demi-mètre pliant le triangle en question. Il plonge donc ses mains dans la boîte à chaussures et tente, uniquement avec le sens du toucher, de construire le triangle en question. Une fois qu'il a terminé, son partenaire ouvre la boîte, extrait le demi-mètre pliant et vérifie si le demi-mètre pliant possède bien la bonne forme.

      Triangle isocèletriangle équilatéralTriangle rectangle
      Différents triangles que l'on peut former à l'aide du demi-mètre pliant


    2. Approcher π : Les élèves munis de leur demi-mètre pliant se déplacent librement dans un espace prédéfini par l'enseignant. Ils doivent mesurer le diamètre et le périmètre de différents objets de forme ronde et remarquer que le périmètre est proportionnel au diamètre. Ils tentent ensuite de trouver la constante de proportionnalité. Ils auront ainsi approché π.
    3. Calcul d'aires et de périmètres : Comme dans la tranche d'âge précédente, les élèves peuvent construire des formes géométriques à l'aide du demi-mètre pliant et en calculer l'aire et le périmètre. Là, où à l'écolé primaire on se concentrait davantage sur des formes telles que le carré ou le rectangle, ici on peut travailler sur d'autres formes, telles que le trapèze. On peut également combiner des formes pour former, par exemple, un coeur.




2.3. Senior


Ce troisième niveau est évidemment le plus challengeant dans le domaine des mathématiques. Cette fois-ci, le demi-mètre pliant doit servir d'illustration pour des concepts mathématiques abstraits tels que des familles de nombres. Prof. Dr. Giovanni Peccati de l'Université de Luxembourg a en effet récemment découvert que le demi-mètre pliant renfermait différentes familles de nombres, telles que les nombres de Catalan, les nombres de Delannoy ou encore les nombres de Motzkin. Mais ce n'est pas tout, l'on pourrait étudier une certaine propriété de notre demi-mètre pliant et tenter de la généraliser pour un demi-mètre pliant avec un nombre n de segments. Dans ce registre, on pourrait étudier le nombre de "L" ou le nombre d'étoiles que l'on peut former avec un demi-mètre pliant comportant n segments. Des sujets que l'on voit dans l'enseignement des mathématiques dans le secondaire peuvent également entrer en compte dans ce niveau senior. Il s'agit de concepts que l'on ne peut pas facilement et concrètement rapporter à la vie quotidienne. Dans la la thèse de master d'Andy Foyen, les sujets suivants sont traîtés :
  • Géométrie : De nouveau la géométrie aura une place prépondérante à ce niveau.
    1. Relation de Chasles : Après avoir appris ce qu'était un vecteur et comment on additionne deux vecteurs, l'on peut proposer aux élèves une fiche d'exercices qui demande à faire l'addition de vecteurs dont la norme est un multiple de la longueur d'un segment du demi-mètre pliant. L’élève place le demi-mètre pliant fermé sur le premier vecteur. Il va l’ouvrir par le bas de manière à ce que l’extrémité du demi-mètre pliant coïncide avec l’origine du premier vecteur. Ensuite il va faire glisser le demi-mètre pliant, en veillant à ne pas faire de rotation, jusqu’à ce que le premier segment non déplié atteigne le deuxième vecteur. Il ouvre alors le demi-mètre à nouveau de manière à ce que les nouveaux segments dépliés épousent parfaitement le deuxième vecteur et il répétera ce geste pour les prochains vecteurs. Ensuite, toujours en évitant tout mouvement de rotation, il glissera le demi-mètre pliant sur une feuille de papier et fera sur celle-ci une marque au niveau de l’extrémité du dernier segment déplié. Il ne reste qu’à tracer un segment entre ces deux points et à inscrire une flèche sur le dernier des points marqués. Ce vecteur est la somme de tous les autres.

      Somme de deux vecteurs
      La somme de deux vecteurs à l'aide du demi-mètre pliant


    2. Les composantes d'un vecteur : Le demi-mètre pliant peut être utilisé pour introduire la notion de composantes d'un vecteur. Pour ce faire, nous distribuons aux élèves des repères orthonormés dont l'unité coïncide avec la longueur d'un segment du demi-mètre pliant. Chaque élève reçoit ensuite une fiche d'exercices comprenant des questions telles que :
      Construire un vecteur dont l’origine est l’origine du repère et qui s’étend de trois unités vers la droite et de deux unités vers le haut. Construire un vecteur dont l’origine est le point de coordonnées (−1,-2) du repère et qui s’étend de trois unités vers la droite et de deux unités vers le haut.

      Composantes d'un vecteur
      Trouver les composantes d'un vecteur à l'aide du demi-mètre pliant


      Les élèves comprendront qu'il s'agit du même vecteur. Dans un repère cartésien, celui-ci peut ainsi être défini par le nombre de pas qu'il faut faire vers la droite et vers le haut. Ces nombres sont les composantes d'un vecteur. Dans notre cas, on trouve :
      Composantes du vecteur

      Les élèves, qui auront déjà vu comment additionner des vecteurs et les multiplier par un scalaire trouveront ensuite que le vecteur peut également s'écrire sous cette forme :
      Notre vecteur sous forme de combinaison des vecteurs de base

      On peut également par cette activité déduire la formule suivante :
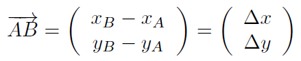
      Formule composante d'un vecteur

  • Probabilité : Le demi-mètre pliant peut être utilisé pour introduire les formules de combinatoires. Les élèves ont appris les termes d'arrangement avec répétition, arrangement sans répétition, permutation et combinaison. Ils doivent réfléchir pour trouver les formules de dénombrement à l'aide du demi-mètre pliant. On considère que chaque segment peut prendre 4 positions, à savoir nord, est, sud et ouest, définies par rapport à la position de l'élève et notées respectivement A, B, C et D. À travers une fiche d'exercice guidée, ils doivent comprendre comment appliquer les définitions de la combinatoire au demi-mètre pliant et trouver l'expression des formules en question.

    Orientation AADBA
    Le demi-mètre pliant orienté en AADBA.




Merci à notre partenaire :